adc静态测试的方法已研究多年,国际上已有标准的测试方法,但静态测试不能反映adc的动态特性,因此有必要研究动态测试方法。动态特性包括很多,如信噪比(snr)、信号与噪声 失真之比(sinad)、总谐波失真(thd)、无杂散动态范围(sfdr)、双音互调失真(ttimd)等。本文讨论了利用数字方法对adc的信噪比进行测试,计算出有效位数,并通过测试证明了提高采样频率能改善snr,相当于提高了adc的有效位数。在本系统中使用了ad9224,它是12bit、40msps、单5v供电的流水线型低功耗adc。
随着设计与制造技术的发展,集成电路设计从晶体管的集成发展到逻辑门的 集成,现在又发展到ip 的集成。近年来已发展到系统级芯片阶段,soc 设计技 术成为设计的热点之一。soc 的设计模式不同于以往大规模集成电路的垂直设计 模式。它的设计模式是水平的,也就是soc 集成商选择不同厂商提供的ip 核来 构建芯片系统。这种水平设计模式一方面缩短了soc 设计周期,另一方面却使 soc 测试面临巨大挑战。ip 核的多样性带来测试的复杂性,就ip 核的设计形式 而言,有软核、固核、硬核三种;就电路类型而言,有数字逻辑核、存储器核、 模拟/混合核;就功能而言,有处理器核、dsp 核、多媒体核等;就电路可测试 性设计方法而言,有内建自测试(built-in-self-test,bist),扫描测试、边 界扫描测试、测试点插入等;就时钟而言,有处理器核和dsp 核等需要高频时钟 的ip 核,也有外设控制器等只需要低频时钟的ip 核。soc 的测试必须考虑对多 样性的支持。测试资源是有限的,外部测试设备所能提供的测试通道数,ate (automatic test equipment)的测试通道深度和测试时间以及模拟测试部件都 是“稀缺资源”。因而soc 的测试必须考虑所有与此有关的细节。
2.1 模拟/混合电路的ip 核测试
模拟/混合电路核的测试技术还很不成熟,在数字逻辑电路中广泛应用的测 试向量自动生成技术(automatic test pattern generation, atpg)不能简单 移植应用于模拟电路。这是因为:第一,模拟电路波形的时间和取值都是连续的, 电路功能依赖于电路拓扑结构和元件的参数值,电路参数动态范围大,难以建立 故障模型;第二,模拟信号是连续量,无论是从原始输入传递测试激励,还是从 被测电路传出测试响应,在传输过程中,这些值都有可能被改变;第三,同样由 于模拟信号的连续性,测量误差容易导致误判。为了提高电路的可测性,为了提 高电路的可测性,常采用三种技术:第一,功能结构重组,此方法是利用电路的 功能结构经过重组而与正常工作模式不同,利用输出信号判别电路是否发生错 误。典型的方法为晶振测试,即产生某种频率的振荡信号,故障电路会改变此振 荡信号的频率,通过监测信号频率的变化,观测到错误。第二,插入测试点,例 如在电路中增加电流传感器,有错误的电路会改变电流大小,从而观测到错误。 第三,进行数模/模数转换,即在芯片设计中加入模数转换器和数模转换器,把 待测电路的模拟输出信号变成数字信号,把待测电路的数字输入信号变成模拟信 号,从而实现激励和响应的传播。
2.2 adc 的测试方法
2.2.1 测试适配器设计技术
测试适配器是芯片与测试机连接的关键,在设计中特别注意布局布线的方 法,尽可能的减小噪声的引入:adc 界于模拟电路和数字电路之间,且通常被划 归为模拟电路,为减小数字电路的干扰,在芯片内部都将模拟电路和数字电路分 开布局;进行测试时为减小信号线上的分布电阻、电容和电感,尽量缩短导线长 度和增大导线之间的距离;为减小电源线和地线的阻抗,尽量增大电源线和地线 的宽度,或采用电源平面、地平面。同样的,模拟电路的接地层,也要和数字电 路的接地层分开,并考虑阻抗匹配,如果是差分输入,要考虑差分对的布线方法, 这样测试出adc 的动态参数和静态参数才比较理想。
2.2.2 测试实例
2.2.2.1 器件特性
本文测试芯片为一款带有一个10bit 高速ad 转换器模块的soc 芯片,其中 adc 模块的特征描述如下:
1) 电源4 组,模拟电源1,2(3.3v,1.8v)。
2) 具有一对差分输入,共模电压为1.5v,vp-p 为1v。
3) 数字时钟频率50mhz,采样频率25mhz,输入波频率2mhz~36mhz。
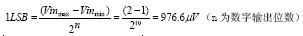
此adc 的测试,选用agilent 的soc 93000 测试系统。由于芯片有一对差分 输入,共模电压为1.5 v,vp-p 为1v, 这意味着模拟输入电压范围是1~2v。 这样模拟输入精度就是:

为了能测试这样精度的芯片,我们需要输入更高精度的模拟电压。此次测 试时输入的模拟电压精度为:

在测试中为了产生如此高精度的模拟电压信号(电压精度为200μv 左右), 使用了roadband high speed awg (500mhz sample/s 12-bit)测试硬件。
『本文转载自网络,64体育的版权归原作者所有,如有侵权请联系删除』